Note

このページは Jupyter Notebook から生成されました。 ノートブックをダウンロード (.ipynb)

[1]:
# Skipped in CI: Colab/bootstrap dependency install cell.

ケーススタディのフロー:

ノイズバジェッティングと多チャンネル相関解析

Open In Colab

精密計測(重力波検出器など)において、メインの観測データに含まれる雑音が「何に由来するのか」を特定することは極めて重要です。このプロセスを Noise Budgeting(ノイズバジェッティング) と呼びます。

重力波検出器の感度曲線は、低周波では地面振動、中周波では熱雑音、高周波では統計的なノイズ(ショットノイズ)によって制限され、特徴的な「下に凸」の形状を示します。

このチュートリアルでは、以下の流れで解析を実演します。

  1. 多チャンネルデータのシミュレーション: メインチャンネルに加え、地面振動、磁場変動、回路ノイズなどの補助チャンネルを生成します。

  2. 相関解析 (Coherence Mapping): メインチャンネルと各補助チャンネルのコヒーレンスを計算し、主なノイズ源を特定します。

  3. 結合関数の推定 (Transfer Function): 補助チャンネルからメインへの「漏れ込み量(伝達関数)」を推定します。

  4. ノイズ投影 (Noise Projection): 伝達関数を用いて、補助チャンネルのノイズをメインチャンネルの単位に変換(投影)します。

  5. ノイズ予算の可視化 (Noise Budget Plot): すべてのノイズ源を重ね合わせ、観測された「U字型」スペクトルの内訳を明らかにします。

[2]:
import warnings

warnings.filterwarnings("ignore", category=UserWarning)
warnings.filterwarnings("ignore", category=DeprecationWarning)

import matplotlib.pyplot as plt
import numpy as np
from scipy import signal

from gwexpy import TimeSeries, TimeSeriesDict
from gwexpy.noise.asd import from_pygwinc
from gwexpy.noise.wave import from_asd

1. 多チャンネルデータのシミュレーション (U字型スペクトルの作成)

重力波検出器を模した感度曲線を作成します。

  • MAIN: 観測対象。低域で地面振動、高域でアクチュエータ/回路系のノイズが支配的な「下に凸」のスペクトルを持ちます。

  • AUX_SEIS: 低周波の地面振動をモニター。

  • AUX_MAG: 磁場モニター(60Hzの電源ラインを含む)。

  • AUX_ELEC: 高周波側のノイズ源(例:制御システムや読み出し回路のノイズ)。

[3]:
fs = 2048.0
duration = 64.0
t = np.arange(0, duration, 1 / fs)
n_samples = len(t)

np.random.seed(42)
rng = np.random.default_rng(42)

# Use an aLIGO-like ASD as the baseline target so the synthetic main channel resembles a detector sensitivity curve.
fmax = fs / 2
asd_main = from_pygwinc(
    "aLIGO", fmin=5.0, fmax=fmax, df=1.0 / duration, quantity="strain"
)
main_base = from_asd(asd_main, duration, fs, t0=0, rng=rng).highpass(5)

# --- Build auxiliary witness channels that stand in for candidate physical noise sources. ---
# 1. Ground motion dominates the low-frequency end, as seismic coupling often does in real detectors.
b_low, a_low = signal.butter(2, 2.0, fs=fs, btype="low")
seis_val = signal.lfilter(b_low, a_low, np.random.normal(0, 50.0, n_samples))
seis = TimeSeries(seis_val, sample_rate=fs, name="Seismic", unit="um")

# 2. Magnetic pickup contributes line features around mains harmonics plus a flatter broadband term.
mag_val = np.random.normal(0, 0.1, n_samples)
mag_val += 0.8 * np.sin(2 * np.pi * 60 * t)  # 60Hz
mag = TimeSeries(mag_val, sample_rate=fs, name="Magnetic", unit="nT")

# 3. Electronic noise becomes important at high frequency where the mechanical channels stop dominating.
elec_val = np.random.normal(0, 1.0, n_samples)
elec = TimeSeries(elec_val, sample_rate=fs, name="Electronic", unit="V")

# --- Mix those witnesses into the main channel so the observed strain-like spectrum is a sum of several physical contributions. ---
main = (
    main_base
    + seis * (2e-21 * main_base.unit / seis.unit)
    + mag * (1e-22 * main_base.unit / mag.unit)
    + elec * (2e-22 * main_base.unit / elec.unit)
)


# Keep the target and witness channels together so coherence and projection can be computed consistently.
tsd = TimeSeriesDict()
tsd["MAIN"] = main
tsd["AUX_SEIS"] = seis
tsd["AUX_MAG"] = mag
tsd["AUX_ELEC"] = elec

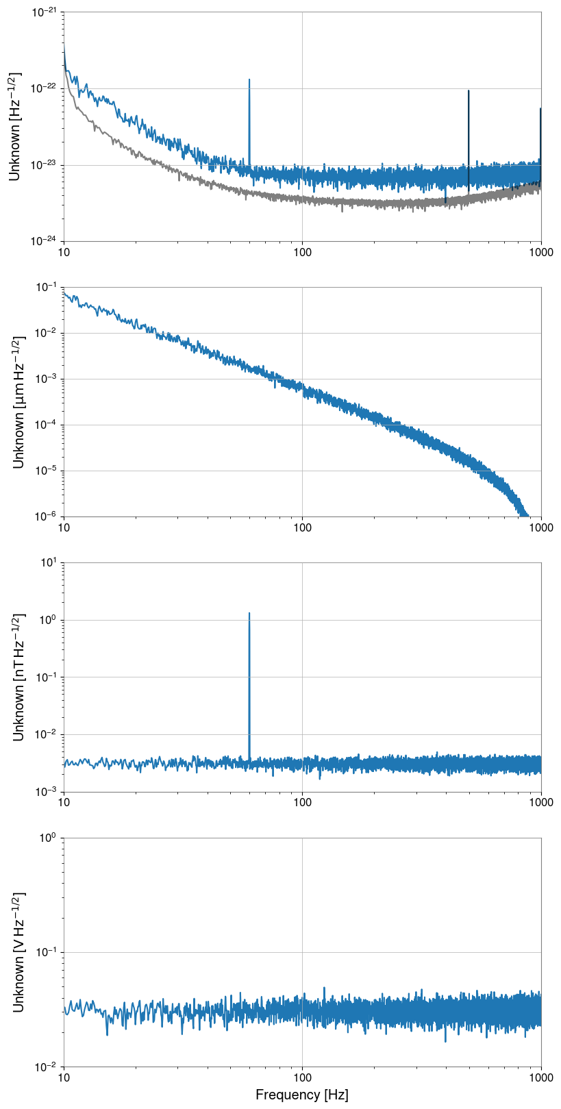
# Inspect the ASD first to confirm the synthetic main channel has the expected U-shaped detector-like profile.
asd_dict = tsd.asd(fftlength=8, overlap=4, method="welch")
plot = asd_dict.plot(xscale="log", yscale="log", subplots=True, sharex=True)
axes = plot.get_axes()
axes[0].plot(
    main_base.asd(fftlength=8, overlap=4, method="welch"), alpha=0.5, color="black"
)
axes[0].set_xlim(10, 1000)
axes[0].set_ylim(1e-24, 1e-21)
axes[1].set_ylim(1e-6, 1e-1)
axes[2].set_ylim(1e-3, 1e1)
axes[3].set_ylim(1e-2, 1e0)
plt.show()

# The MAIN channel now falls at low frequency and rises again at high frequency, which is the qualitative signature of different noise families dominating in different bands.

../../../../_images/web_ja_user_guide_tutorials_case_noise_budget_5_0.png

2. 相関解析 (Coherence Mapping)

メインチャンネルの「U字」の左側、底、右側で、それぞれどのセンサーと高いコヒーレンスを持っているかを確認します。

[4]:
aux_names = ["AUX_SEIS", "AUX_MAG", "AUX_ELEC"]

plt.figure(figsize=(10, 6))
for name in aux_names:
    coh = tsd["MAIN"].coherence(tsd[name], fftlength=8)
    plt.semilogx(coh.frequencies, coh.value, label=f"MAIN vs {name}")

plt.title("Coherence Mapping")
plt.xlabel("Frequency [Hz]")
plt.ylabel("Coherence")
plt.xlim(10, 1000)
plt.ylim(0, 1.1)
plt.legend()
plt.grid(True, which="both")
plt.show()

# Coherence shows which witness can explain the main channel in each band, but it still indicates shared structure rather than proof of causality.

../../../../_images/web_ja_user_guide_tutorials_case_noise_budget_7_0.png

3. 結合関数の推定

各帯域における漏れ込み係数(伝達関数)を推定します。

[5]:
tf_seis = tsd["AUX_SEIS"].transfer_function(tsd["MAIN"], fftlength=8)
tf_mag = tsd["AUX_MAG"].transfer_function(tsd["MAIN"], fftlength=8)
tf_elec = tsd["AUX_ELEC"].transfer_function(tsd["MAIN"], fftlength=8)

plt.figure(figsize=(10, 5))
plt.loglog(tf_seis.abs(), label="TF: SEIS -> MAIN")
plt.loglog(tf_mag.abs(), label="TF: MAG -> MAIN")
plt.loglog(tf_elec.abs(), label="TF: ELEC -> MAIN")

plt.xlim(10, 1000)
plt.ylim(1e-23, 1e-15)
plt.title("Estimated Coupling Functions")
plt.xlabel("Frequency [Hz]")
plt.ylabel("Coupling Strength")
plt.legend()
plt.grid(True, which="both")
plt.show()
../../../../_images/web_ja_user_guide_tutorials_case_noise_budget_9_0.png

4. ノイズ投影 (Noise Projection)

[6]:
main_ch = tsd["MAIN"]
proj_seis = asd_dict["AUX_SEIS"] * tf_seis.abs()
proj_mag = asd_dict["AUX_MAG"] * tf_mag.abs()
proj_elec = asd_dict["AUX_ELEC"] * tf_elec.abs()

# Sum the projected components in quadrature because approximately independent noise families add in power, not linearly in amplitude.
total_proj = (proj_seis**2 + proj_mag**2 + proj_elec**2) ** 0.5

# Plot the combined projection to compare the explained budget against the observed main spectrum.
plt.figure(figsize=(10, 5))
plt.loglog(total_proj, label="Total Projected Noise")
plt.legend()
plt.show()

../../../../_images/web_ja_user_guide_tutorials_case_noise_budget_11_0.png

5. ノイズ予算の可視化 (Noise Budget Plot)

「下に凸」のメインチャンネルのノイズが、どのように解説・分解されるかを表示します。

[7]:
plt.figure(figsize=(12, 8))

# Plot the observed main ASD as the reference sensitivity curve we are trying to explain.
plt.loglog(
    asd_dict["MAIN"],
    label="Main Channel (Observed)",
    color="black",
    linewidth=4,
    alpha=0.6,
)

# Overlay each projected witness contribution to see which physical source dominates each band.
plt.loglog(proj_seis, label="Projected Seismic (Low Freq Limit)", ls="--")
plt.loglog(proj_mag, label="Projected Magnetic (Lines / Flat)", ls="--", alpha=0.7)
plt.loglog(proj_elec, label="Projected Electronic (High Freq Limit)", ls="--")

# The total projection is the hypothesis for the explained portion of the measured sensitivity.
plt.loglog(total_proj, label="Sum of Known Noises", color="red", linewidth=2, alpha=0.6)

plt.title("GW Detector-like Noise Budget")
plt.xlabel("Frequency [Hz]")
plt.ylabel(f"Amplitude Spectral Density [{main_ch.unit}/rtHz]")
plt.xlim(10, 1000)
plt.ylim(1e-24, 1e-21)
plt.legend(frameon=True, facecolor="white", loc="upper right")
plt.grid(True, which="both", ls="-", alpha=0.5)
plt.show()

# When the summed projection follows the measured curve, the budget supports the story that different noise mechanisms dominate different frequency ranges.

../../../../_images/web_ja_user_guide_tutorials_case_noise_budget_13_0.png